时光研究所

抗衰前沿研究资讯分享/营养品科普内容分享

论文研读 | 被子越重,睡得越香!原因竟和这种“分泌素”有关

发表时间:2024-12-09 09:24作者:时光研究所NMN

这两天又下雨了,紧接着是一小波降温。

所长自认为很抗冻,但面对降温也不得不掏出了柜子里的厚被子。

我发现啊,这厚被子一盖,睡觉都更香了!

所长爱人也有同样的感觉,

难不成这睡眠质量还和被子厚度有关?

秉着有疑问就找文献的态度,还真让我发现了其中的奥秘!

原来是被子越重,睡得越香!


2020年发表在美国睡眠医学会旗下期刊《临床睡眠医学杂志》上的一项研究显示,盖上重被子,能显著改善睡眠!

图片


研究人员将招募到的成年人随机分配到两组,

▶一组使用重量在6-8千克之间的加重毛毯,

▶另一组使用1.5千克的毛毯作为对照组,共持续四周。


研究显示,在一个月内,42.2%使用6-8千克加重毛毯的人失眠得到明显改善,而且在一年内,78%的人睡眠质量得到了明显改善,并且还能减轻抑郁和焦虑的症状。


研究人员表示,毛毯的重量模仿了被拥抱和被抚摸的感觉,可以帮助身体放松,从而获得更好的睡眠。


图片




另一项研究则发现了“被子重,睡得香”的深层原因


2022年发表在《睡眠研究杂志》上的一项研究发现,使用重被子可以增加体内自然产生的褪黑素的数量(褪黑素是一种有助于睡眠的激素)。

与使用轻薄毯子相比,使用加重毯子可使唾液中的褪黑激素浓度增加约30%。

图片


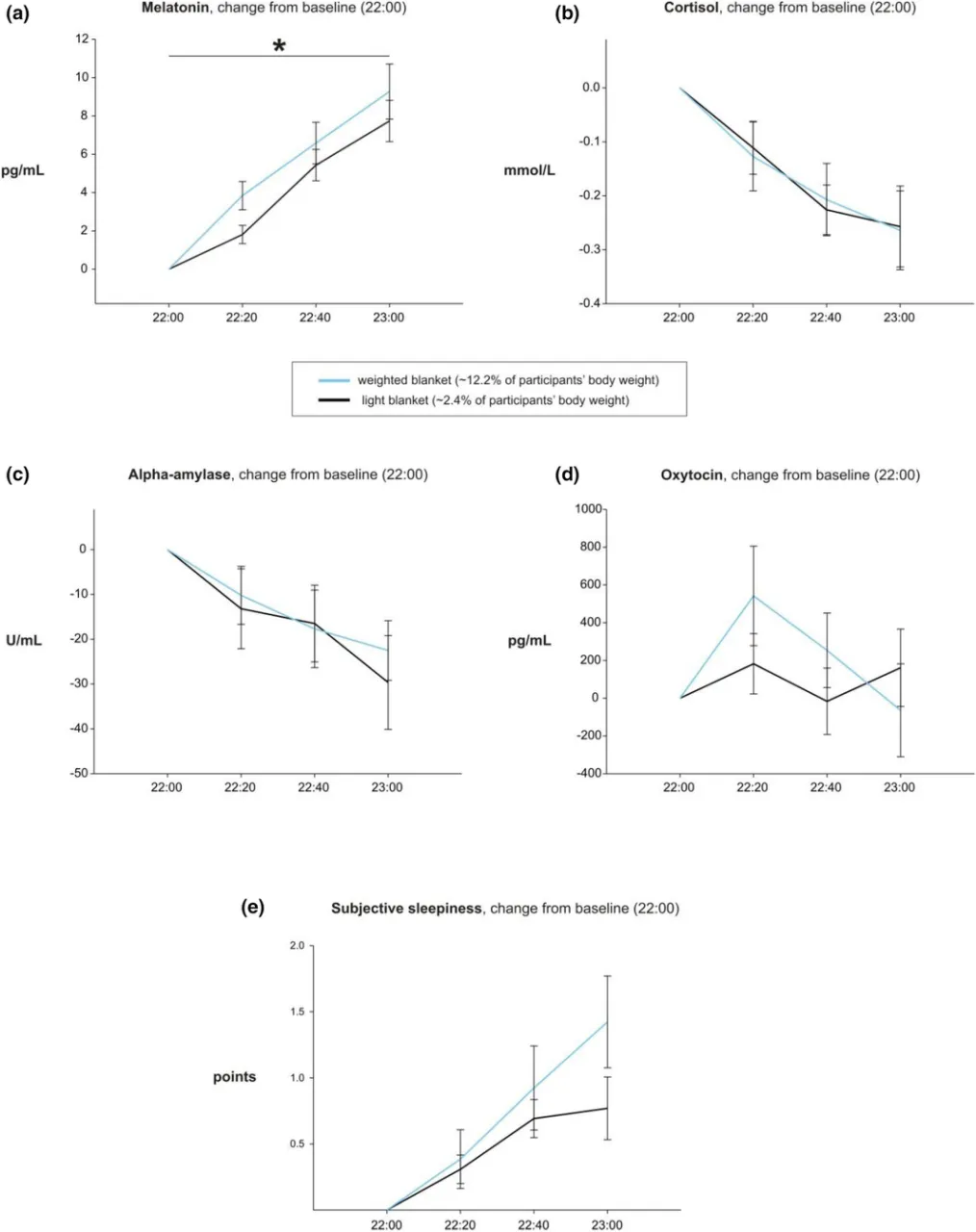
研究共纳入26名体重正常、不吸烟的年轻健康男女(15男11女,并排除了女性月经周期的混杂因素)参加到研究中,按照随机和交叉的顺序,进行了两个阶段的试验。

▶在第一阶段试验中,参与者被要求盖上厚被子,被子的重量相当于参与者体重的12.2%(以60kg的人为例,被子约重7.3kg);

▶而第二阶段中,则盖上较轻的毯子,约体重的2.4%(还以60kg的人为例,被子约重1.4kg)。


此外,通过收集参与者的唾液,并检测其中褪黑素、α-淀粉酶、皮质醇和催产素的含量,研究者能以此分析被子重量对多种激素的影响,探明被子改善睡眠过程中的“罪魁祸首”。


图片

(试验设计(2阶段))


卡罗林斯卡嗜睡量表 (KSS)测量结果显示,盖厚被子的KSS得分比盖轻毛毯的高出0.2±0.2分,且越接近入睡时间,KSS的得分越高,即困倦程度更高。不过,两组之间的差异并不显著。

两组之间的褪黑素浓度有了明显区别

盖厚被子的情况下,参与者唾液中褪黑素浓度的增幅更大。盖上厚重的被子,能使参与者的唾液褪黑素浓度在22:00-23:00之间(睡前一小时)平均上升约6.6±0.7pg/mL,比盖较轻被子的显著增加32%!


图片


褪黑素是一种由脑松果体分泌的激素,在睡眠时间中起着至关重要的作用。

众所周知,褪黑素能够有效促进睡眠,并改善焦虑。被子重了,脑内分泌的褪黑素增加了,自然能睡得更香。


图片

(厚和轻被子对唾液中褪黑素(a)、皮质醇(b)、α-淀粉酶(c)、催产素(d)、主观嗜睡评级(e)的影响)


不过,对比其他激素,如皮质醇、α-淀粉酶、催产素等,却没有发现两组之间的显著差异。

研究者认为,厚重被子带来的“压力”激活了皮肤感觉传入神经,并通过脊髓将这种感觉传达给了脑内的孤束核(NTS)。孤束核接受到“压力”的信号后,进一步将其投射至下丘脑的室旁核(PVH)。了解“睡眠缓解压力”的人一定对室旁核并不陌生,没错,室旁核便是那个有着小细胞催产素神经元的脑区,通过刺激这个区域,能够增强人们内心的平静和幸福,减少恐惧、压力和疼痛的感受。此外,这些神经元还与松果体相连,进而影响褪黑素的释放。


综上,本研究首次证明,盖上7kg左右的厚重被子,能够有效增加睡前褪黑素的释放,从而改善睡眠




所长有话说

褪黑素的分泌具有显著的昼夜节律性,夜晚分泌增多,是人体生物钟的调节者,能传达睡眠信号。

研究表明,褪黑素可改善睡眠质量,缩短入睡时间、减少夜间觉醒,还能缓解焦虑。但褪黑素并非万能,青少年、孕妇等特殊人群使用需谨慎,它只是改善睡眠的一种辅助手段,而非根本解决方案。


时光研究所
首页              NMN专栏              前沿资讯              科学抗衰              新闻动态              联系我们
工作时间:9:00~18:00
timelab@foxmail.com