时光研究所

抗衰前沿研究资讯分享/营养品科普内容分享

DHA提前预防:让老年痴呆绕道走!

发表时间:2023-09-27 17:31作者:时光研究所

研究表明,高脂肪和高糖的饮食方式与Ⅱ型糖尿病、脂肪肝、心血管疾病和癌症等疾病有关,而且随着年龄的增长,这种饮食习惯的人群还会逐渐出现认知衰退的症状


最有代表性的就是我们所熟知的老年痴呆症


近期,中国农业科学院的研究人员在《高级研究杂志》中发表的一项研究结果显示,DHA(二十二碳六烯酸)可以减轻高脂食物导致的认知障碍、脑胰岛素抵抗、炎症和氧化应激。

DHA减轻高脂肪饮食引起的认知障碍

DHA是大脑中最丰富的omega-3脂肪酸,它在很大程度上影响着认知能力。


通过将具有高脂肪饮食(HED)症状的老年大鼠喂食DHA,并进行Morris水迷宫测试(一种常用的老鼠认知测试),研究人员发现:DHA可以改善老年大鼠的学习和记忆能力,从而减轻高脂肪饮食导致的认知障碍。

图片

与喂食高脂肪食物(蓝色,HFD)的未处理的老年大鼠相比,喂食HFD的喂食DHA(橙色,DHA)的老年大鼠在Morris水迷宫的目标象限中停留的时间更长,这表明学习和记忆得到改善。


在Morris水迷宫测试中,与未经处理的老年大鼠相比,喂食DHA的老年大鼠在目标象限内停留的时间更长,表明它们的学习和记忆能力得到了改善。

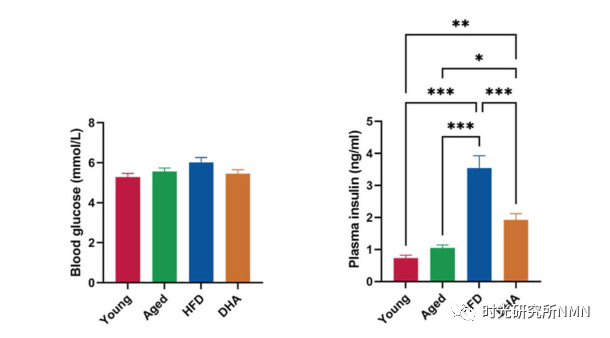
DHA提高高脂肪饮食小鼠胰岛素敏感性

此外,研究人员还测试了喂食高脂肪食物老年小鼠的血糖和血浆胰岛素水平,以评估胰岛素抵抗状况。


结果显示,喂食高脂肪食物的老年小鼠的血糖水平正常,但他们维持正常血糖水平所需的胰岛素水平却高出4倍,表明他们对胰岛素的敏感性降低,即胰岛素抵抗。然而,喂食DHA后,老年小鼠的血浆胰岛素水平显著降低。

图片

未处理的老龄大鼠喂食高脂肪食物(蓝色,HFD)和喂食HFD的老龄大鼠喂食DHA(橙色,DHA),血糖水平正常(左)。然而,高脂肪饮食喂养的老年大鼠血浆胰岛素水平要高得多(右),表明胰岛素抵抗。DHA降低胰岛素水平,表明胰岛素抵抗的减少。


综上所述,两项实验结果表明,补充DHA可以通过改善胰岛素敏感性、减少大脑炎症和氧化应激来对抗高脂肪饮食导致的认知障碍。



长有话说:


阿尔茨海默氏痴呆症(即老年痴呆症),和Ⅱ型糖尿病之间存在着很强的关联。


Ⅱ型糖尿病的特征之一是胰岛素抵抗和高血糖,而高脂肪饮食可能会增加患上老年痴呆症的风险


DHA可以通过补充剂形式获得,也富含于某些食物,尤其是脂肪丰富的鱼类中。因此,建议减少摄入饱和脂肪和精制碳水化合物的食物,并尝试增加摄入富含DHA等营养物质的食品。


这样的饮食方式有助于降低胰岛素抵抗和高血糖的风险,从而减少患上老年痴呆症的可能性。


图片

长按识别,等你关注

图片


文末小贴士

DHA如何补充?

人体补充DHA有两种主要方式,除了补充剂,也能通过日常的膳食直接摄入。那么,吃什么?怎么吃?一本《中国居民膳食指南》告诉你!


所长 浓缩全文 ,将重点知识整理成了精华版脑图,一张图带你搞定健康膳食摄入,添加所长直接领取。


如果您有任何疑问,欢迎详询!

关于NMN,我们一起畅谈~


图片


(参考文献)

Xu, J., Ni, B., Ma, C., Rong, S., Gao, H., Zhang, L., Xiang, X., Huang, Q., Deng, Q., & Huang, F. (2023). Docosahexaenoic acid enhances hippocampal insulin sensitivity to promote cognitive function of aged rats on a high-fat diet. Journal of Advanced Research, 45, 31-42. https://doi.org/10.1016/j.jare.2022.04.015


时光研究所
首页              NMN专栏              前沿资讯              科学抗衰              新闻动态              联系我们
工作时间:9:00~18:00
timelab@foxmail.com